基本信息:
中文名称 2,4-二(三甲硅氧基)嘧啶
中文别名 O,O-双(三甲基硅基)尿嘧啶;2,4-双三甲基硅烷氧基嘧啶;
英文名称 2,4-Bis((trimethylsilyl)oxy)pyrimidine
英文别名 trimethyl-(2-trimethylsilyloxypyrimidin-4-yl)oxysilane;
CAS号 10457-14-4
合成路线:
1.通过N,O-双三甲硅基乙酰胺和尿嘧啶合成2,4-二(三甲硅氧基)嘧啶

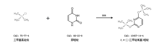
2.通过三甲基氯硅烷和尿嘧啶合成2,4-二(三甲硅氧基)嘧啶,收率约99%;

中华试剂网提醒 合成路线仅供参考