基本信息:
中文名称 6-氟-1-(4-氟苯基)-4-氧代-7-(哌嗪-1-基)-1,4-二氢-1,8-萘啶-3-羧酸乙酯
英文名称 ethyl 6-fluoro-1-(4-fluorophenyl)-4-oxo-7-piperazin-1-yl-1,8-naphthyridine-3-carboxylate
CAS号 104069-95-6
合成路线:
1.通过哌嗪和7-氯-6-氟-1-(4-氟苯基)-4-氧代-1,4-二氢-1,8-萘啶-3-羧酸乙酯合成6-氟-1-(4-氟苯基)-4-氧代-7-(哌嗪-1-基)-1,4-二氢-1,8-萘啶-3-羧酸乙酯,收率约63%;

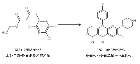
2.通过2,6-二氯-5-氟烟酰乙酸乙酯合成6-氟-1-(4-氟苯基)-4-氧代-7-(哌嗪-1-基)-1,4-二氢-1,8-萘啶-3-羧酸乙酯

中华试剂网提醒 合成路线仅供参考