基本信息:
中文名称 2-Brome-6,7-二氢噻唑[5,4-c]吡啶-4(5H)-酮
中文别名 2-溴-6,7-二氢噻唑并5,4-C吡啶-4(5H)-酮;
英文名称 2-Bromo-6,7-dihydrothiazolo[5,4-c]pyridin-4(5H)-one
英文别名 2-bromo-6,7-dihydro-5H-[1,3]thiazolo[5,4-c]pyridin-4-one;
CAS号 1035219-96-5
合成路线:
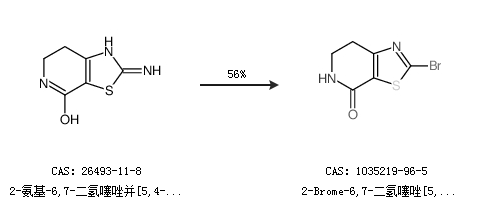
1.通过2-氨基-6,7-二氢噻唑并[5,4-c]吡啶-4(5H)-酮合成2-Brome-6,7-二氢噻唑[5,4-c]吡啶-4(5H)-酮,收率约56%;

中华试剂网提醒 合成路线仅供参考