基本信息:
中文名称 1-THP-咪唑-5-硼酸片那醇酯
中文别名 1-(四氢-2H-2-吡喃基)-5-(4,4,5,5-四甲基-1,3,2-二氧硼烷)-1H-咪唑;1-THP-1-H-咪唑-5-硼酸频那醇酯;1-(四氢-2H-吡喃-2-基)-1H-咪唑-5-硼酸频哪醇酯;
英文名称 1-(Tetrahydro-2H-pyran-2-yl)-5-(4,4,5,5-tetramethyl-1,3,2-dioxaborolan-2-yl)-1H-imidazole
英文别名 1-(oxan-2-yl)-5-(4,4,5,5-tetramethyl-1,3,2-dioxaborolan-2-yl)imidazole;
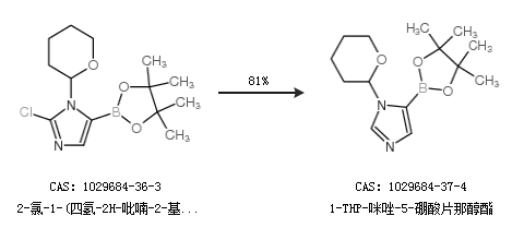
CAS号 1029684-37-4
合成路线:
1.通过2-氯-1-(四氢-2H-吡喃-2-基)-5-(4,4,5,5-四甲基-1,3,2-二氧硼烷)-1H-咪唑合成1-THP-咪唑-5-硼酸片那醇酯,收率约81%;

中华试剂网提醒 合成路线仅供参考