你好,欢迎来到中华试剂网 购试剂 买耗材! [请登录][注册有惊喜]

货号快速下单 | 签到送积分   | 会员中心 | 客服热线:400-021-2765

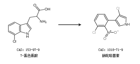
硝吡咯菌素的合成路线

提问时间:2021/4/26 8:21:57
硝吡咯菌素是什么,有什么方法可以合成?

1条回复:

匿名
2021/4/26 8:21:57
基本信息:
中文名称 硝吡咯菌素
中文别名 吡咯尼林;
英文名称 pyrrolnitrin
英文别名 Pyroace;Pirrolnitrina;Pyrrolnitrinum;Pyrrolnitrine;3-chloro-4-(3-chloro-2-nitrophenyl)-1H-pyrrole;Pyrrolnitrin;
CAS号 1018-71-9

合成路线:
1.通过7-氯色氨酸合成硝吡咯菌素


中华试剂网提醒 合成路线仅供参考
回复