基本信息:
中文名称 2-甲基四氢吡喃
英文名称 2-METHYLTETRAHYDROPYRAN
英文别名 Tetrahydro-2-methylpyran;2-Methyltetrahydropyrane;2-Methyloxane;Methyltetrahydropyran;2-METHYLOXACYCLOHEXANE;tetrahydro-2-methyl-2H-pyran;methylterahydropyran;2-methyl-tetrahydro-pyran;2-Methyltetrahydro-2H-pyran;
CAS号 10141-72-7
合成路线:
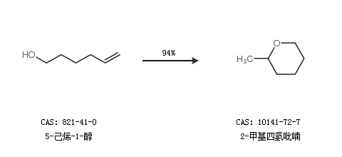
1.通过5-己烯-1-醇合成2-甲基四氢吡喃,收率约94%;

2.通过6-氯-2-已酮合成2-甲基四氢吡喃,收率约90%;

中华试剂网提醒 合成路线仅供参考