基本信息:
中文名称 (2S)-(+)-1-苯甲酰基-2-叔丁基-3-甲基-4-咪唑啉酮
英文名称 (2S)-1-benzoyl-2-tert-butyl-3-methylimidazolidin-4-one
英文别名 4-Imidazolidinone,1-benzoyl-2-(1,1-dimethylethyl)-3-methyl-,(2S);(2S)-(+)-1-benzoyl-2-tert-butyl-3-methyl-4-imidazolidinone;(S)-1-Benzoyl-2-(tert-butyl)-3-methylimidazolidin-4-one;(+)-(S)-1-Benzoyl-2-(tert-butyl)-3-methylimidazolidin-4-on;(S)-1-benzoyl-2-(tert-butyl)-3-methyl-4-imidazolidinone;(S)-1-benzoyloxy-2-(tert-butyl)-3-methylimidazolidin-4-one;(2S)-1-benzoyl-2-(1,1-dimethylethyl)-3-methyl-4-imidazolidinone;(S)-1-benzoyl-2-tert-butyl-3-methyl-1,3-imidazolidin-4-one;
CAS号 101055-56-5
合成路线:
1.通过硫酸二甲酯合成(2S)-(+)-1-苯甲酰基-2-叔丁基-3-甲基-4-咪唑啉酮,收率约75%;

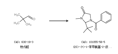
2.通过特戊醛合成(2S)-(+)-1-苯甲酰基-2-叔丁基-3-甲基-4-咪唑啉酮

中华试剂网提醒 合成路线仅供参考