基本信息:
中文名称 (2R,3S)-N-苄氧羰基-2,3-二苯基吗啉-6-酮
中文别名 (2R,3S)-2,3-二苯基-6-氧代吗啉-4-甲酸苄酯;(2R,3S)-(-)-6-酮-2,3-二苯基-4-吗啡啉甲酸苄酯;2R,3S-N-CBZ-2,3-二苯基吗啉-6-酮;苄基 (2R,3S)-(-)-6-氧-2,3-二苯基-4-吗啉E甲酸;
英文名称 Benzyl (2R,3S)-(-)-6-oxo-2,3-diphenyl-4-morpholinecarboxylate
英文别名 (2R,3S)-(?)-N-Z-6-oxo-2,3-diphenylmorpholine;(2R,3S)-Benzyl 6-oxo-2,3-diphenylmorpholine-4-carboxylate;Benzyl (2R,3S)-(?)-6-oxo-2,3-diphenyl-4-morpholinecarboxylate;benzyl (2R,3S)-6-oxo-2,3-diphenylmorpholine-4-carboxylate;
CAS号 100516-54-9
合成路线:
1.通过(1R,2S)-(-)-2-氨基-1,2-二苯基乙醇合成(2R,3S)-N-苄氧羰基-2,3-二苯基吗啉-6-酮

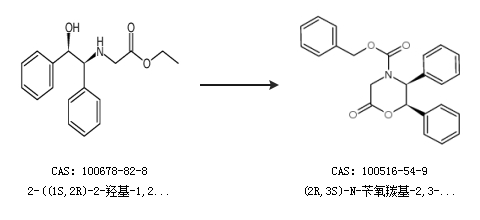
2.通过2-((1S,2R)-2-羟基-1,2-二苯基乙基氨基)乙酸乙酯合成(2R,3S)-N-苄氧羰基-2,3-二苯基吗啉-6-酮

中华试剂网提醒 合成路线仅供参考