基本信息:
中文名称 L-孟基乙醛酸酯
中文别名 拉米夫定中间体L-MGH;2,2-二羟基醋酸-(1R,2S,5R)-2-异丙基-5-甲基环己酯;(1S)-(+)-孟基乙醛酸;5-甲基-2-异丙基环己醇二羟基乙酸酯;甲基乙醛酸水合物;
英文名称 (1R,2S,5R)-5-Methyl-2-(1-methylethyl)cyclohexyl dihydroxy-acetate
英文别名 L-Menthyl glyoxylate hydrate;(1R,2S,5R)-2-Isopropyl-5-methylcyclohexyl 2,2-Dihydroxyacetate;(1R)-(-)-Menthyl glyoxylate monohydrate;L-menthyl glyoxylate;2,2-Dihydroxyacetic acid (-)-menthyl ester;(1S)-(+)-Menthyl glyoxylate monohydrate;L-MENTHYL 2,2-DIHYDROXYACETATE;(-)-menthyl glyoxylate hydrate;L)-Menthyl glyoxylate monohydrate;(1S)-(+)-Menthyl glyoxylate;(S)-(+)-MENTHYL GLYOXYLATE HYDRATE;L-Menthyl Glyoxylate Hydrate;2,2-Dihydroxyacetic Acid (1R,2S,5R)-2-Isopropyl-5-methylcyclohexyl Ester;Glyoxylic acid (1S)-menthyl ester hydrate;(-)-methyl glyoxylate;(1S)-(+)-MENTHYL GLYOXYLATE HYDRATE;(-)-Menthyl 2,2-Dihydroxyacetate;L-MGH;
CAS号 111969-64-3
合成路线:
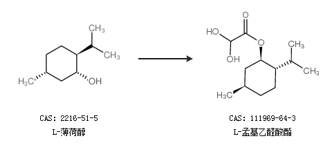
1.通过L-薄荷醇合成L-孟基乙醛酸酯

中华试剂网提醒:合成路线仅供参考