你好,欢迎来到中华试剂网 购试剂 买耗材! [请登录][注册有惊喜]

货号快速下单 | 签到送积分   | 会员中心 | 客服热线:400-021-2765

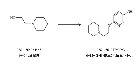
6-[2-(1-哌啶基)乙氧基]-3-氨基吡啶的合成路线

提问时间:2021/4/25 10:27:14
6-[2-(1-哌啶基)乙氧基]-3-氨基吡啶是什么,有什么方法可以合成?

1条回复:

匿名
2021/4/25 10:27:14
基本信息:
中文名称 6-[2-(1-哌啶基)乙氧基]-3-氨基吡啶
英文名称 6-[2-(1-Piperidinyl)ethoxy]-3-pyridinamine
CAS号 561277-09-6

合成路线:
1.通过N-羟乙基哌啶合成6-[2-(1-哌啶基)乙氧基]-3-氨基吡啶


中华试剂网提醒:合成路线仅供参考
回复