基本信息:
中文名称 原花青素 B2
中文别名 原矢车菊素B2;原花青素B2;
英文名称 procyanidin B2
英文别名 (-)epicatechin-(-)-epicatechin;Proanthocyanidin B2;4,8''-BI-[(+)-EPICATECHIN];EPICATECHIN(4B-8)EPICATECHIN;Procyanidin?B2;Procyanidol B2;PROCYANIDINDIMERB2;PROCYANIDIN B2;PROCYANIDIN B1(P);EPICATECHIN(4BETA->8)EPICATECHIN;
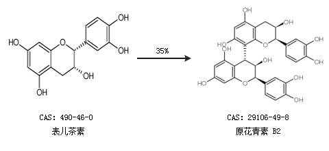
CAS号 29106-49-8
合成路线:
1.通过儿茶精合成原花青素 B2

2.通过表儿茶素合成原花青素 B2,收率约35%;

中华试剂网提醒:合成路线仅供参考