基本信息:
中文名称 乙酰乙酸-4-羟基苯基甲酯
英文名称 (4-hydroxyphenyl) 3-oxobutanoate
英文别名 Acetessigsaeure-(4-hydroxy-phenylester);4-Hydroxyphenyl acetoacetate;acetoacetic acid-(4-hydroxy-phenyl ester);4-hydroxyphenyl 3-oxobutanoate;
CAS号 26408-72-0
合成路线:
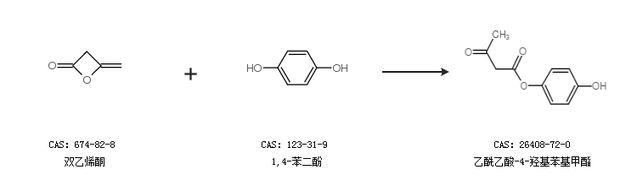
1.通过双乙烯酮和1,4-苯二酚合成乙酰乙酸-4-羟基苯基甲酯

中华试剂网提醒:合成路线仅供参考