基本信息:
中文名称 依吡哌唑
英文名称 1-(1-benzofuran-7-yl)-4-[[5-(4-fluorophenyl)-1H-pyrrol-2-yl]methyl]piperazine
英文别名 1-[5-(4-fluorophenyl)pyrrol-2-yl]methyl-4-(benzo[b]furan-7-yl)piperazine;elopiprazole[inn];Elopiprazole;UNII-419A0R564U;2-<<4-(7-benzofuranyl)-1-piperazinyl>methyl>-5-(4-fluorophenyl)pyrrole;
CAS号 115464-77-2
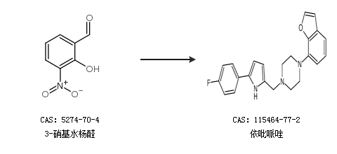
合成路线:
1.通过甲醛合成依吡哌唑,收率约90%;

2.通过3-硝基水杨醛合成依吡哌唑

中华试剂网提醒:合成路线仅供参考