基本信息:
中文名称 双酚 S
中文别名 4-羟基苯基砜;双酚S,4,4''-磺酰基二苯酚;4,4''-二羟基二苯砜;4,4-二羟基二苯砜;双酚S;双(4-羟苯基)砜;双(4-羟基苯基)砜;4,4''-磺酰基二苯酚;
英文名称 4,4''-sulfonyldiphenol
英文别名 4-(4-hydroxyphenyl)sulfonylphenol;4,4''-Sulfonyldiphenol;
CAS号 80-09-1
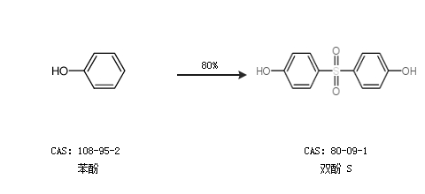
合成路线:
1.通过苯酚合成双酚 S,收率约96%;

2.通过苯酚合成双酚 S,收率约80%;

中华试剂网提醒:合成路线仅供参考