基本信息:
中文名称 六氟丙烷
英文名称 1,1,1,2,2,3-HEXAFLUOROPROPANE
英文别名 propane,1,1,1,2,2,3-hexafluoro;FC-236CB;1,1,1,2,2,3-hexafluoro-propane;hexafluoro-propan;1H,1H-Perfluoropropane;R236cb;HFC-236cb;1,1,1,2,2,3-Hexafluor-propan;
CAS号 677-56-5
合成路线:
1.通过3,3,3-三氟丙烯合成六氟丙烷,收率约5%;

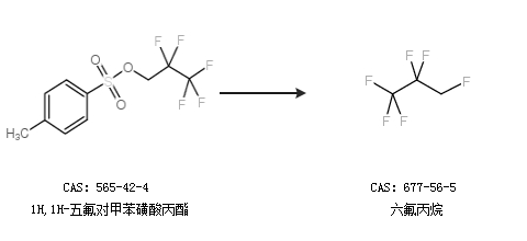
2.通过1H,1H-五氟对甲苯磺酸丙酯合成六氟丙烷

中华试剂网提醒:合成路线仅供参考