基本信息:
中文名称 硫前列酮
中文别名 素普罗斯顿;(Z)-7-[(1R,2R,3R)-3-羟基-2-((E,3R)-3-羟基-4-苯氧基-1-丁烯基)-5-氧代环戊基]-N-甲基磺酰基-5-庚烯酰胺;
英文名称 (Z)-7-[(1R,2R,3R)-3-hydroxy-2-[(E,3R)-3-hydroxy-4-phenoxybut-1-enyl]-5-oxocyclopentyl]-N-methylsulfonylhept-5-enamide
英文别名 Nalador;EINECS 262-173-0;SHB 286;Sulprostonum;Sulprostone;Sulprostona;N-Acetyl-N-acetoxy-4-chlorobenzenesulfonamide;
CAS号 60325-46-4
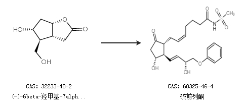
合成路线:
1.通过恩前列素中间体合成硫前列酮

2.通过(-)-6beta-羟甲基-7alpha-羟基-顺式-2-氧杂双环[3.3.0]辛-3-酮合成硫前列酮

中华试剂网提醒:合成路线仅供参考