基本信息:
中文名称 卡龙酸酐
中文别名 6,6-二甲基-3-氧代双环[3.1.0]己烷-2,4-二酮;3,3-二甲基-1,2-环丙烷二羧酸酐;6,6-二甲基-3-氧杂双环[3.1.0]己烷-2,4-二酮;
英文名称 6,6-Dimethyl-3-oxabicyclo[3.1.0]hexane-2,4-dione
英文别名 Caronic anhydride;
CAS号 67911-21-1
合成路线:
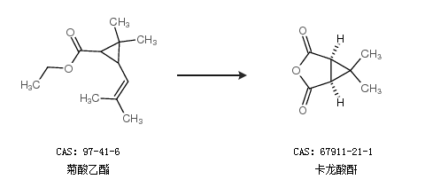
1.通过菊酸乙酯合成卡龙酸酐

2.通过【草(之上)+皆】酮合成卡龙酸酐

中华试剂网提醒:合成路线仅供参考