基本信息:
中文名称 非尼拉敏
中文别名 N,N-二甲基-3-苯基-3-(2-吡啶基)丙胺;苯吡丙胺;
英文名称 N,N-dimethyl-3-phenyl-3-pyridin-2-ylpropan-1-amine
英文别名 Pyriton;Propheniramine;Histapyridamine;Prophenpyridamine;Tripoton;N,N-dimethyl-3-phenyl-3-pyridin-2-yl-propan-1-amine;Avil;pheniramine;Trimeton;Feniramine;Metron;
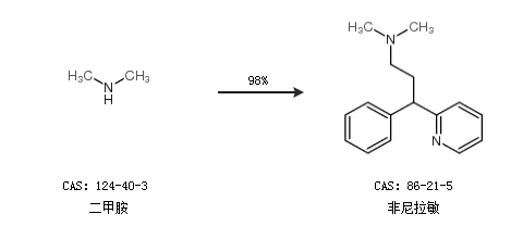
CAS号 86-21-5
合成路线:
1.通过二甲胺合成非尼拉敏,收率约98%;

2.通过乙炔合成非尼拉敏,收率约82%;

中华试剂网提醒:合成路线仅供参考