基本信息:
中文名称 二丁基乙酸
英文名称 2-BUTYLHEXANOIC ACID
英文别名 2-Butyl-hexansaeure;2-Butyl-capronsaeure;2,2-Dibutylacetic acid;Dibutylacetic acid;HEXANOIC ACID,2-BUTYL;2-Butyl hexanoate;Dibutylessigsaeure;2-butyl-hexanoic acid;Di-n-butylacetic acid;
CAS号 3115-28-4
合成路线:
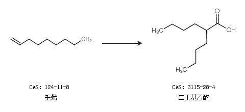
1.通过壬烯合成二丁基乙酸

2.通过5-癸炔合成二丁基乙酸

中华试剂网提醒:合成路线仅供参考