你好,欢迎来到中华试剂网 购试剂 买耗材! [请登录][注册有惊喜]

货号快速下单 | 签到送积分   | 会员中心 | 客服热线:400-021-2765

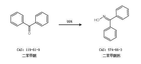
二苯甲酮肟的合成路线

提问时间:2021/4/25 10:27:12
二苯甲酮肟是什么,有什么方法可以合成?

1条回复:

匿名
2021/4/25 10:27:12
基本信息:
中文名称 二苯甲酮肟
中文别名 二苯酮肟;苯甲酮肟;
英文名称 Benzophenone oxime
英文别名 N-benzhydrylidenehydroxylamine;
CAS号 574-66-3

合成路线:
1.通过二苯甲酮合成二苯甲酮肟,收率约8%;


2.通过二苯甲酮合成二苯甲酮肟,收率约99%;


中华试剂网提醒:合成路线仅供参考
回复