基本信息:
中文名称 草酰乙酸二乙酯钠盐
中文别名 二乙基 氧杂l乙酸酯钠盐;草醋酸二乙酯钠盐;
英文名称 Diethyl oxalacetate sodium salt
英文别名 SODIUM ETHYL OXALACETATE;Diethyl Oxalacetate SodiuM Salt;sodium diethyl oxalylacetate;diethyl 2-oxosuccinate sodium salt;DIEHTYLOXALACETATESODIUMSALT;ETHYL SODIUM OXALOACETATE;diethylsodiumoxalacetate;ETHYL SODIUM OXALACETATE;DIETHYL OXALACETATE SODIUM;SODIUM DIETHYL OXALOACETATE;Sodium Diethyl Oxalacetate;sodium diethyl 2-oxosuccinate;ETHYL OXALACETATE SODIUM SALT;diethyl oxaloacetate sodium salt;Oxalacetic Acid Diethyl Ester Sodium Salt;diethylsodiooxalacetate;SODIUM DIETHYL OXALACETATE;Sodium 1,4-diethoxy-1,4-dioxobut-2-en-2-olate;
CAS号 40876-98-0
合成路线:
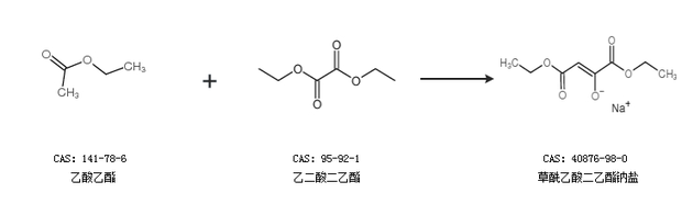
1.通过乙酸乙酯和乙二酸二乙酯合成草酰乙酸二乙酯钠盐

中华试剂网提醒:合成路线仅供参考