基本信息:
中文名称 丙氨酰-L-酪氨酸
中文别名 L-丙氨酸-L-酪氨酸;丙氨酰-酪氨酸;
英文名称 (2S)-2-[[(2S)-2-aminopropanoyl]amino]-3-(4-hydroxyphenyl)propanoic acid
英文别名 L-Ala-L-Tyr;N-L-Alanyl-L-tyrosine;(S)-2-((S)-2-Aminopropanamido)-3-(4-hydroxyphenyl)propanoic acid;L-Alanyl-L-tyrosine;Alanyltyrosine;H-Ala-Tyr-OH;Ala-Tyr;L-Tyrosine,N-L-alanyl;
CAS号 3061-88-9
合成路线:
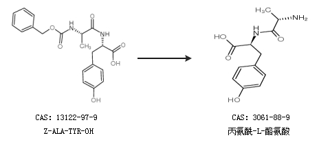
1.通过Z-ALA-TYR-OH合成丙氨酰-L-酪氨酸

2.通过L-酪氨酸乙酯和2-溴丙酰溴合成丙氨酰-L-酪氨酸

中华试剂网提醒:合成路线仅供参考