基本信息:
中文名称 R-(-)-二氢-5-(P-甲苯基磺酰丁氧基甲基)-2(3H)-呋喃酮
中文别名 (R)?-?(-?)?-?二氢-?5-?(对-?甲苯磺酰基甲氧基)?-?2(3H)-呋喃酮;(R)-(-)-二氢-5-(对-甲苯磺酰基甲氧基)-2(3H)-呋喃酮;
英文名称 (R)-(5-Oxotetrahydrofuran-2-yl)methyl 4-methylbenzenesulfonate
英文别名 [(2R)-5-oxooxolan-2-yl]methyl 4-methylbenzenesulfonate;
CAS号 58879-33-7
合成路线:
1.通过(R)-γ-羟甲基-γ-丁内酯 (R)-4,5-二氢-5-羟甲基-2(3H)-呋喃酮 (R)-5-羟甲基-2-氧代四氢呋喃和对甲苯磺酰氯合成R-(-)-二氢-5-(P-甲苯基磺酰丁氧基甲基)-2(3H)-呋喃酮,收率约88%;

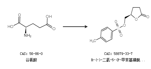
2.通过谷氨酸合成R-(-)-二氢-5-(P-甲苯基磺酰丁氧基甲基)-2(3H)-呋喃酮

中华试剂网提醒:合成路线仅供参考