基本信息:
中文名称 N-乙基亚氨基二乙酸
英文名称 2-[carboxymethyl(ethyl)amino]acetic acid
英文别名 Aethylimino-di-essigsaeure;N-ethyliminodiacetic acid;Aethyl-bis-carboxymethyl-amin;ethylimino-di-acetic acid;Aethyl-diglykolamidsaeure;
CAS号 5336-17-4
合成路线:
1.通过甲醛、氰化钠和乙胺合成N-乙基亚氨基二乙酸

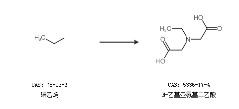
2.通过碘乙烷合成N-乙基亚氨基二乙酸

中华试剂网提醒:合成路线仅供参考