基本信息:
中文名称 N-甲基吲哚酮
中文别名 1-甲基羟吲哚;1-甲基-2-吲哚酮;硝苯地平酸;1-甲基-2-羟吲哚;N-甲基-N-氧化吗啉;
英文名称 1-methyl-3H-indol-2-one
英文别名 1-Methyl-2-oxindole;1-Methyloxindole;2-INDOLINONE,1-METHYL;N-methyloxindole;1-Methyl-2-indolinone;N-methyl-indol-2-one;N-Methylindol-2(3H)-one;N-Methyl-2-indolinone;1-Methyl-1,3-dihydro-2H-indol-2-one;1-methylindolin-2-one;
CAS号 61-70-1
合成路线:
1.通过2-吲哚酮和硫酸二甲酯合成N-甲基吲哚酮,收率约78%;

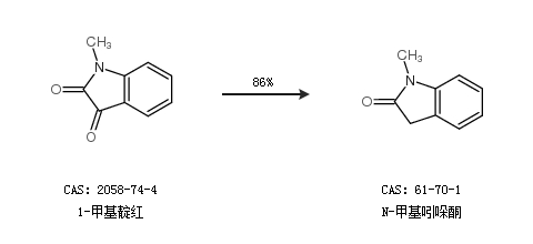
2.通过1-甲基靛红合成N-甲基吲哚酮,收率约86%;

中华试剂网提醒:合成路线仅供参考