你好,欢迎来到中华试剂网 购试剂 买耗材! [请登录][注册有惊喜]

货号快速下单 | 签到送积分   | 会员中心 | 客服热线:400-021-2765

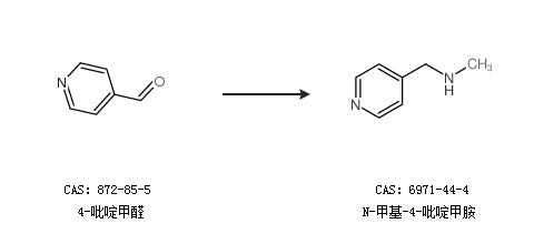
N-甲基-4-吡啶甲胺的合成路线

提问时间:2021/4/25 10:27:12
N-甲基-4-吡啶甲胺是什么,有什么方法可以合成?

1条回复:

匿名
2021/4/25 10:27:12
基本信息:
中文名称 N-甲基-4-吡啶甲胺
中文别名 N-甲基-N-(4-吡啶甲基)胺;
英文名称 N-methyl-N-(4-pyridylmethyl)amine
英文别名 N-methyl-1-pyridin-4-ylmethanamine;
CAS号 6971-44-4

合成路线:
1.通过4-吡啶甲醛和甲胺合成N-甲基-4-吡啶甲胺


2.通过4-吡啶甲醛合成N-甲基-4-吡啶甲胺


中华试剂网提醒:合成路线仅供参考
回复