基本信息:
中文名称 N-阿魏酰章鱼胺
英文名称 Chloro(dodecyl)dimethylsilane
英文别名 trans-N-feruloyl-3-O-methyldopamine;N-trans-feruloy-3-O-methyldopamine;N-trans-feruloyl octopamine;N-trans-Feruloylmethoxytyramine;N-trans-Feruloyloctopamin;trans-N-feruloyloctopamine;N-trans-feruloyl 3-O-methyldopamine;
CAS号 66648-44-0
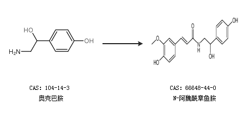
合成路线:
1.通过奥克巴胺合成N-阿魏酰章鱼胺

2.通过奥克巴胺和3-甲氧基-4-羟基肉桂酸合成N-阿魏酰章鱼胺

中华试剂网提醒:合成路线仅供参考