基本信息:
中文名称 N-Cbz-DL-丙氨酸
中文别名 N-苄氧羰基-DL-丙氨酸;N-CBZ-DL-丙氨酸;苄氧羰基-DL-丙氨酸;
英文名称 DL-Cbz-alanine
英文别名 N-Carbobenzoxy-DL-alanine;Z-DL-Ala-OH;N-[(Benzyloxy)carbonyl]-DL-alanine;N-Cbz-DL-alanine;2-(((Benzyloxy)carbonyl)amino)propanoic acid;
CAS号 4132-86-9
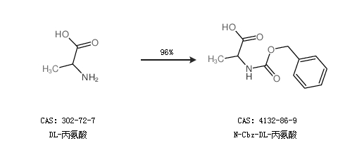
合成路线:
1.通过氯甲酸苄酯和DL-丙氨酸合成N-Cbz-DL-丙氨酸,收率约92%;

2.通过DL-丙氨酸合成N-Cbz-DL-丙氨酸,收率约96%;

中华试剂网提醒:合成路线仅供参考