基本信息:
中文名称 N-Boc-N''-硝基-L-精氨酸
中文别名 Na-叔丁氧羰基-NG-硝基-L精氨酸;叔丁氧羰基-硝基-L-精氨酸;BOC-硝基-L-精氨酸;Nα-Boc-Nω-硝基-L-精氨酸;
英文名称 (2S)-5-[[amino(nitramido)methylidene]amino]-2-[(2-methylpropan-2-yl)oxycarbonylamino]pentanoic acid
英文别名 Boc-L-Nitroarginine;N-Alpha-Boc-N-Gamma-Nitro-L-Arginine;Boc-Arg(NO2)-OH;EINECS 218-580-0;N-Boc-N''-nitro-L-arginine;Nalpha-Boc-Nomega-nitro-L-arginine;(S)-2-((tert-Butoxycarbonyl)amino)-5-(3-nitroguanidino)pentanoic acid;
CAS号 2188-18-3
合成路线:
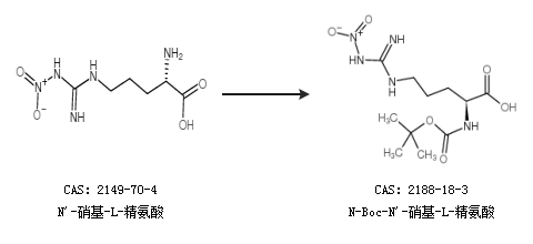
1.通过N''-硝基-L-精氨酸合成N-Boc-N''-硝基-L-精氨酸,收率约96%;

2.通过N''-硝基-L-精氨酸合成N-Boc-N''-硝基-L-精氨酸

中华试剂网提醒:合成路线仅供参考