基本信息:
中文名称 N-boc-1H-吲哚-5-甲醛
英文名称 tert-butyl 5-formylindole-1-carboxylate
英文别名 N-boc-1H-Indole-5-carbaldehyde;N-Boc-indole-3-carbaldehyde;tert-butyl 5-formyl-1H-indol-1-carboxylate;1-(t-butyloxycarbonyl)-5-formylindole;1-BOC-5-FORMYL-INDOLE;AR3440;tert-Butyl 5-formyl-1H-indole-1-carboxylate;1-BOC-1H-INDOLE-5-CARBALDEHYDE;1-(tert-butyloxycarbonyl)indole-5-carboxaldehyde;1-(tert-butoxycarbonyl)-1H-indole-5-carbaldehyde;
CAS号 279256-09-6
合成路线:
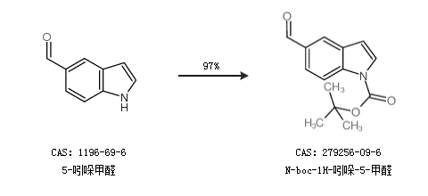
1.通过5-吲哚甲醛合成N-boc-1H-吲哚-5-甲醛,收率约97%;

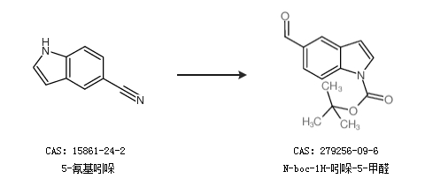
2.通过5-氰基吲哚合成N-boc-1H-吲哚-5-甲醛

中华试剂网提醒:合成路线仅供参考