基本信息:
中文名称 N-(4-氟苄基)硫脲
英文名称 (4-fluorophenyl)methylthiourea
英文别名 (4-Fluor-benzyl)-thioharnstoff;1-p-Fluorbenzylthioharnstoff;N-(4-fluorobenzyl)thiourea;(4-fluoro-benzyl)-thiourea;
CAS号 405-74-3
合成路线:
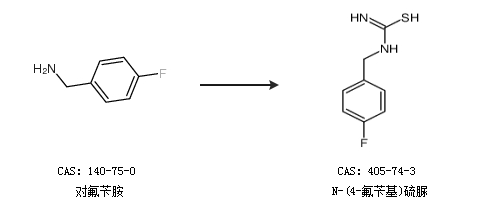
1.通过对氟苄胺合成N-(4-氟苄基)硫脲

2.通过4-氟苄胺盐酸盐合成N-(4-氟苄基)硫脲

中华试剂网提醒:合成路线仅供参考