基本信息:
中文名称 L-焦谷氨酸甲酯
中文别名 焦谷氨酸甲酯;(S)-(+)-2-吡咯烷酮-5-甲酸甲酯;S)-(+)-2-吡咯烷酮-5-羧酸甲酯;(S)-(+)-2-吡咯烷酮-5-羧酸甲酯;
英文名称 Methyl L-Pyroglutamate
英文别名 (S)-5-Oxopyrrolidine-2-carboxylic Acid Methyl Ester;Methyl (S)-5-Oxopyrrolidine-2-carboxylate;L-Pyroglutamic Acid Methyl Ester;Methyl (S)-(+)-2-Pyrrolidone-5-carboxylate;methyl (2S)-5-oxopyrrolidine-2-carboxylate;
CAS号 4931-66-2
合成路线:
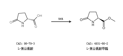
1.通过L-焦谷氨酸合成L-焦谷氨酸甲酯,收率约94%;

2.通过甲醇和L-焦谷氨酸合成L-焦谷氨酸甲酯,收率约97%;

中华试剂网提醒:合成路线仅供参考