基本信息:
中文名称 L-丙氨酰胺
英文名称 L-alaninamide
英文别名 L-alanine amide;(S)-(+)-2-aminopropanamide;Alanine amide;H-L-Ala-NH2;(2S)-2-aminopropanamide;(2S)-2-azanylpropanamide;Alaninamide;Alaninamide,L;
CAS号 7324-05-2
合成路线:
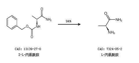
1.通过Z-L-丙氨酰胺合成L-丙氨酰胺,收率约94%;

2.通过L-丙氨酰胺盐酸盐合成L-丙氨酰胺

中华试剂网提醒:合成路线仅供参考