基本信息:
中文名称 9H-芴-2-羧基 酸
中文别名 9H-芴-2-羧酸;
英文名称 9H-FLUORENE-2-CARBOXYLIC ACID
英文别名 2-carboxyfluorene;Fluoren-2-carbonsaeure;2-fluorenylcarboxylic acid;Fluorene-2-carboxylic acid;2-fluorenecarboxylic acid;
CAS号 7507-40-6
合成路线:
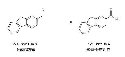
1.通过2-氟萘烯甲醛合成9H-芴-2-羧基 酸

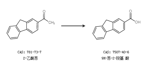
2.通过2-乙酰芴合成9H-芴-2-羧基 酸

中华试剂网提醒:合成路线仅供参考