基本信息:
中文名称 8-溴-4-羟基喹啉-3-羧酸乙酯
中文别名 4-羟基-8-溴喹啉-3-羧酸乙酯;8-溴-4-羟基-3-喹啉羧酸乙酯;
英文名称 Ethyl 8-bromo-4-hydroxyquinoline-3-carboxylate
英文别名 ethyl 8-bromo-4-oxo-1H-quinoline-3-carboxylate;8-Bromo-4-hydroxyquinoline-3-carboxylic acid ethyl ester;
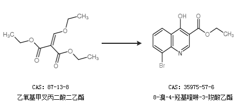
CAS号 35975-57-6
合成路线:
1.通过2-溴苯胺合成8-溴-4-羟基喹啉-3-羧酸乙酯

2.通过乙氧基甲叉丙二酸二乙酯合成8-溴-4-羟基喹啉-3-羧酸乙酯

中华试剂网提醒:合成路线仅供参考