你好,欢迎来到中华试剂网 购试剂 买耗材! [请登录][注册有惊喜]

货号快速下单 | 签到送积分   | 会员中心 | 客服热线:400-021-2765

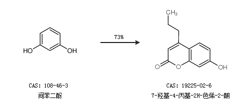
7-羟基-4-丙基-2H-色烯-2-酮的合成路线

提问时间:2021/4/25 10:27:10
7-羟基-4-丙基-2H-色烯-2-酮是什么,有什么方法可以合成?

1条回复:

匿名
2021/4/25 10:27:10
基本信息:
中文名称 7-羟基-4-丙基-2H-色烯-2-酮
英文名称 7-Hydroxy-4-propyl-2H-chromen-2-one
英文别名 7-hydroxy-4-propylchromen-2-one;
CAS号 19225-02-6

合成路线:
1.通过丁酰乙酸乙酯和间苯二酚合成7-羟基-4-丙基-2H-色烯-2-酮,收率约95%;


2.通过间苯二酚合成7-羟基-4-丙基-2H-色烯-2-酮,收率约73%;


中华试剂网提醒:合成路线仅供参考
回复