你好,欢迎来到中华试剂网 购试剂 买耗材! [请登录][注册有惊喜]

货号快速下单 | 签到送积分   | 会员中心 | 客服热线:400-021-2765

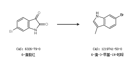
6-溴-3-甲基-1H-吲哚的合成路线

提问时间:2021/4/25 10:27:10
6-溴-3-甲基-1H-吲哚是什么,有什么方法可以合成?

1条回复:

匿名
2021/4/25 10:27:10
基本信息:
中文名称 6-溴-3-甲基-1H-吲哚
英文名称 6-bromo-3-methyl-1H-indole
CAS号 1219741-50-0

合成路线:
1.通过6-溴靛红合成6-溴-3-甲基-1H-吲哚


中华试剂网提醒:合成路线仅供参考
回复