你好,欢迎来到中华试剂网 购试剂 买耗材! [请登录][注册有惊喜]

货号快速下单 | 签到送积分   | 会员中心 | 客服热线:400-021-2765

6-溴-2-萘甲酸的合成路线

提问时间:2021/4/25 10:27:10
6-溴-2-萘甲酸是什么,有什么方法可以合成?

1条回复:

匿名
2021/4/25 10:27:10
基本信息:
中文名称 6-溴-2-萘甲酸
中文别名 2-溴-6-萘酸;
英文名称 6-Bromo-2-naphthoic Acid
英文别名 6-bromonaphthalene-2-carboxylic acid;
CAS号 5773-80-8

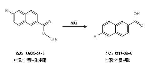
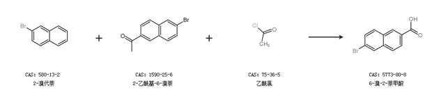
合成路线:
1.通过6-溴-2-萘甲酸甲酯合成6-溴-2-萘甲酸,收率约90%;


2.通过2-溴代萘、2-乙酰基-6-溴萘和乙酰氯合成6-溴-2-萘甲酸


中华试剂网提醒:合成路线仅供参考
回复