基本信息:
中文名称 6-溴-2-氯喹唑啉-4-胺
英文名称 6-Bromo-2-Chloroquinazolin-4-Amine
英文别名 6-Bromo-2-chloroquinazolin-4-amine;6-bromo-2-chloroquinazolin-4-amine;
CAS号 111218-89-4
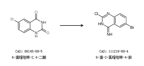
合成路线:
1.通过2,4-二氯-6-溴喹唑啉合成6-溴-2-氯喹唑啉-4-胺,收率约75%;

2.通过6-溴喹唑啉-2,4-二酮合成6-溴-2-氯喹唑啉-4-胺

中华试剂网提醒:合成路线仅供参考