基本信息:
中文名称 6-羟基-8-[4-(嘧啶-2-基)-1-哌嗪基丁基]-8-氮杂螺[4,5]癸烷-7,9-二酮
中文别名 6-羟基 BU螺NE;
英文名称 6''-Hydroxy Buspirone
英文别名 10-hydroxy-8-[4-(4-pyrimidin-2-ylpiperazin-1-yl)butyl]-8-azaspiro[4.5]decane-7,9-dione;
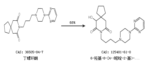
CAS号 125481-61-0
合成路线:
1.通过丁螺环酮合成6-羟基-8-[4-(嘧啶-2-基)-1-哌嗪基丁基]-8-氮杂螺[4,5]癸烷-7,9-二酮

2.通过丁螺环酮合成6-羟基-8-[4-(嘧啶-2-基)-1-哌嗪基丁基]-8-氮杂螺[4,5]癸烷-7,9-二酮,收率约68%;

中华试剂网提醒:合成路线仅供参考