你好,欢迎来到中华试剂网 购试剂 买耗材! [请登录][注册有惊喜]

货号快速下单 | 签到送积分   | 会员中心 | 客服热线:400-021-2765

6-氯-DL-色氨酸的合成路线

提问时间:2021/4/25 10:27:10
6-氯-DL-色氨酸是什么,有什么方法可以合成?

1条回复:

匿名
2021/4/25 10:27:10
基本信息:
中文名称 6-氯-DL-色氨酸
英文名称 6-CHLORO-DL-TRYPTOPHAN
英文别名 6-chloro-tryptophan;6-Chlor-DL-tryptophan;DL-6-chlorotryptophan;6-Chlorptryptophan;
CAS号 17808-21-8

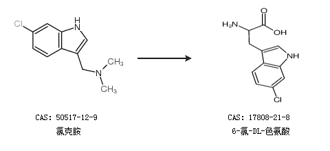
合成路线:
1.通过6-氯吲哚合成6-氯-DL-色氨酸


2.通过氯克胺合成6-氯-DL-色氨酸


中华试剂网提醒:合成路线仅供参考
回复