你好,欢迎来到中华试剂网 购试剂 买耗材! [请登录][注册有惊喜]

货号快速下单 | 签到送积分   | 会员中心 | 客服热线:400-021-2765

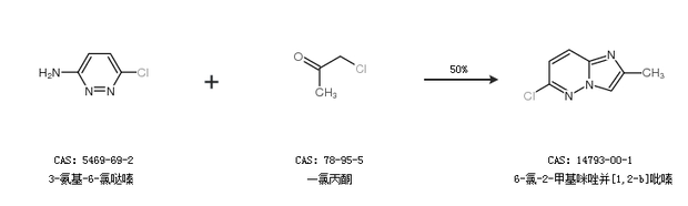
6-氯-2-甲基咪唑并[1,2-b]吡嗪的合成路线

提问时间:2021/4/25 10:27:10
6-氯-2-甲基咪唑并[1,2-b]吡嗪是什么,有什么方法可以合成?

1条回复:

匿名
2021/4/25 10:27:10
基本信息:
中文名称 6-氯-2-甲基咪唑并[1,2-b]吡嗪
中文别名 6-氯-2-甲基咪唑并[1,2-B]哒嗪;
英文名称 6-chloro-2-methylimidazo[1,2-b]pyridazine
英文别名 6-chloro-2-methylimidazo/1,2-b/pyridazine;
CAS号 14793-00-1

合成路线:
1.通过3-氨基-6-氯哒嗪和一氯丙酮合成6-氯-2-甲基咪唑并[1,2-b]吡嗪,收率约50%;


中华试剂网提醒:合成路线仅供参考
回复