你好,欢迎来到中华试剂网 购试剂 买耗材! [请登录][注册有惊喜]

货号快速下单 | 签到送积分   | 会员中心 | 客服热线:400-021-2765

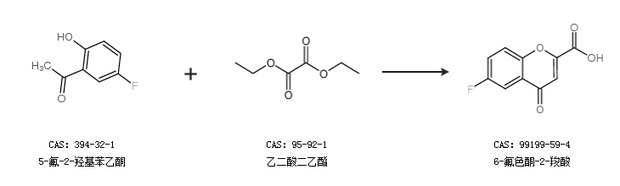
6-氟色酮-2-羧酸的合成路线

提问时间:2021/4/25 10:27:10
6-氟色酮-2-羧酸是什么,有什么方法可以合成?

1条回复:

匿名
2021/4/25 10:27:10
基本信息:
中文名称 6-氟色酮-2-羧酸
中文别名 6-氟-4-氧代-4H-1-苯并吡喃-2-羧酸;6-氟-4-氧代-4氢-1-苯并吡喃-2-羧酸;
英文名称 6-Fluorochromone-2-carboxylic Acid
英文别名 6-fluoro-4-oxochromene-2-carboxylic acid;
CAS号 99199-59-4

合成路线:
1.通过5-氟-2-羟基苯乙酮和乙二酸二乙酯合成6-氟色酮-2-羧酸


中华试剂网提醒:合成路线仅供参考
回复