基本信息:
中文名称 6-氟喹啉-2-甲醛
英文名称 6-fluoroquinoline-2-carbaldehyde
英文别名 6-Fluoroquinoline-2-carbaldehyde;6-fluoro-2-quinolinecarbaldehyde;6-Fluoro-quinoline-2-carbaldehyde;
CAS号 260430-93-1
合成路线:
1.通过6-氟-2-甲基喹啉合成6-氟喹啉-2-甲醛,收率约99%;

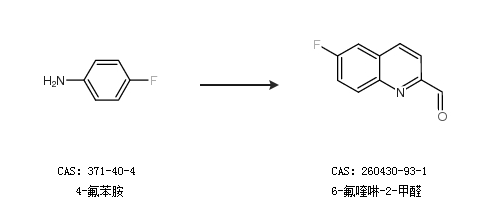
2.通过4-氟苯胺合成6-氟喹啉-2-甲醛

中华试剂网提醒:合成路线仅供参考