你好,欢迎来到中华试剂网 购试剂 买耗材! [请登录][注册有惊喜]

货号快速下单 | 签到送积分   | 会员中心 | 客服热线:400-021-2765

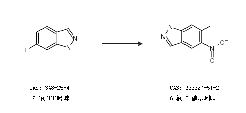
6-氟-5-硝基吲唑的合成路线

提问时间:2021/4/25 10:27:10
6-氟-5-硝基吲唑是什么,有什么方法可以合成?

1条回复:

匿名
2021/4/25 10:27:10
基本信息:
中文名称 6-氟-5-硝基吲唑
中文别名 5-硝基-6-氟吲唑;
英文名称 6-fluoro-5-nitro-1H-indazole
英文别名 PC5531;5-nitro-6-fluoro-1H-indazole;6-Fluoro-5-nitroindazole;
CAS号 633327-51-2

合成路线:
1.通过2-甲基-4-硝基-5-氟苯胺合成6-氟-5-硝基吲唑


2.通过6-氟(1H)吲唑合成6-氟-5-硝基吲唑


中华试剂网提醒:合成路线仅供参考
回复