你好,欢迎来到中华试剂网 购试剂 买耗材! [请登录][注册有惊喜]

货号快速下单 | 签到送积分   | 会员中心 | 客服热线:400-021-2765

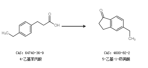
5-乙基-1-茚满酮的合成路线

提问时间:2021/4/25 10:27:09
5-乙基-1-茚满酮是什么,有什么方法可以合成?

1条回复:

匿名
2021/4/25 10:27:09
基本信息:
中文名称 5-乙基-1-茚满酮
中文别名 5-乙基-2,3-二氢-1H-茚-1-酮;
英文名称 5-Ethyl-2,3-dihydro-1H-inden-1-one
英文别名 5-ethyl-2,3-dihydroinden-1-one;
CAS号 4600-82-2

合成路线:
1.通过乙基苯合成5-乙基-1-茚满酮


2.通过4-乙基苯丙酸合成5-乙基-1-茚满酮


中华试剂网提醒:合成路线仅供参考
回复