基本信息:
中文名称 5-羟基吲哚-3-乙酸
中文别名 5-羟基吲哚乙酸;2-氟-5-硝基苯甲醚;
英文名称 (5-hydroxyindol-3-yl)acetic acid
英文别名 2-(5-Hydroxy-1H-indol-3-yl)acetic acid;5-Hydroxyindole-3-acetic acid;5-HYDROXYINDOLE-3-ACETIC ACID;5-Hydroxyindolacetic Acid;
CAS号 54-16-0
合成路线:
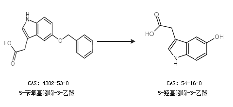
1.通过5-苄氧基吲哚-3-乙酸合成5-羟基吲哚-3-乙酸

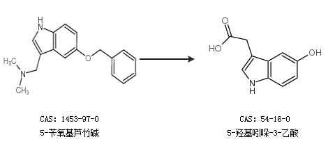
2.通过5-苄氧基芦竹碱合成5-羟基吲哚-3-乙酸

中华试剂网提醒:合成路线仅供参考