基本信息:
中文名称 5-苄基-3,6-二氧-2-哌嗪乙酸
中文别名 (2S-顺式)-(-)-5-苄基-3,6-二氧-2-哌嗪乙酸;(2S-顺式)-(-)-5-苄基-3,6-二氧代-2-哌嗪乙酸;(2S-CIS)-(-)-5-苄基-3,6-二氧-2-哌嗪乙酸;阿斯巴甜相关物质A;
英文名称 (2S,5S)-5-Benzyl-3,6-dioxo-2-piperazineacetic Acid
英文别名 2-[(2S,5S)-5-benzyl-3,6-dioxopiperazin-2-yl]acetic acid;
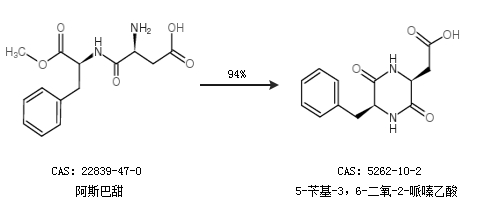
CAS号 5262-10-2
合成路线:
1.通过阿斯巴甜合成5-苄基-3,6-二氧-2-哌嗪乙酸,收率约94%;

2.通过L-苯丙氨酸甲酯合成5-苄基-3,6-二氧-2-哌嗪乙酸

中华试剂网提醒:合成路线仅供参考