基本信息:
中文名称 5-(4,4,5,5-四甲基-[1,3,2]二氧硼烷)烟腈
中文别名 3-氰基吡啶-5-硼酸频哪醇酯;
英文名称 5-(4,4,5,5-Tetramethyl-1,3,2-dioxaborolan-2-yl)nicotinonitrile
英文别名 5-(4,4,5,5-tetramethyl-1,3,2-dioxaborolan-2-yl)pyridine-3-carbonitrile;
CAS号 402718-29-0
合成路线:
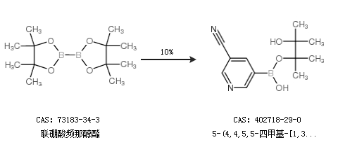
1.通过联硼酸频那醇酯合成5-(4,4,5,5-四甲基-[1,3,2]二氧硼烷)烟腈,收率约10%;

中华试剂网提醒:合成路线仅供参考