基本信息:
中文名称 4-溴苯基乙醛酸乙酯
中文别名 4-溴苯乙酮酸乙酯;
英文名称 ethyl 2-(4-bromophenyl)-2-oxoacetate
英文别名 ETHYL 4-BROMOBENZOYLFORMATE;ethyl 4-bromophenylglyoxylate;ethyl p-bromophenylglyoxylate;
CAS号 20201-26-7
合成路线:
1.通过溴代苯和草酰氯单乙酯合成4-溴苯基乙醛酸乙酯,收率约73%;

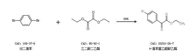
2.通过对二溴苯和乙二酸二乙酯合成4-溴苯基乙醛酸乙酯,收率约69%;

中华试剂网提醒:合成路线仅供参考